GENE SLOVERS
US NAVY PAGES

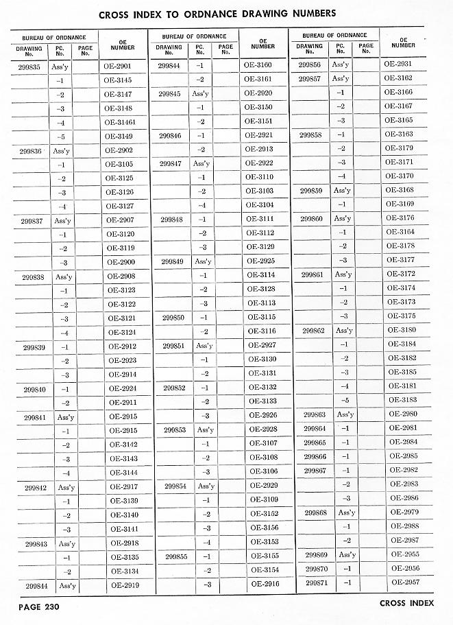
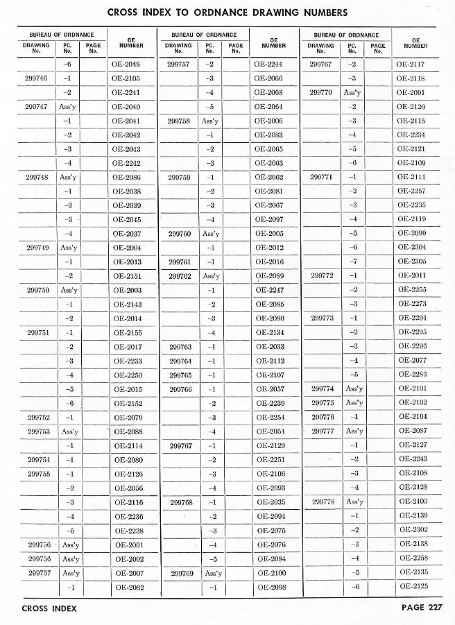
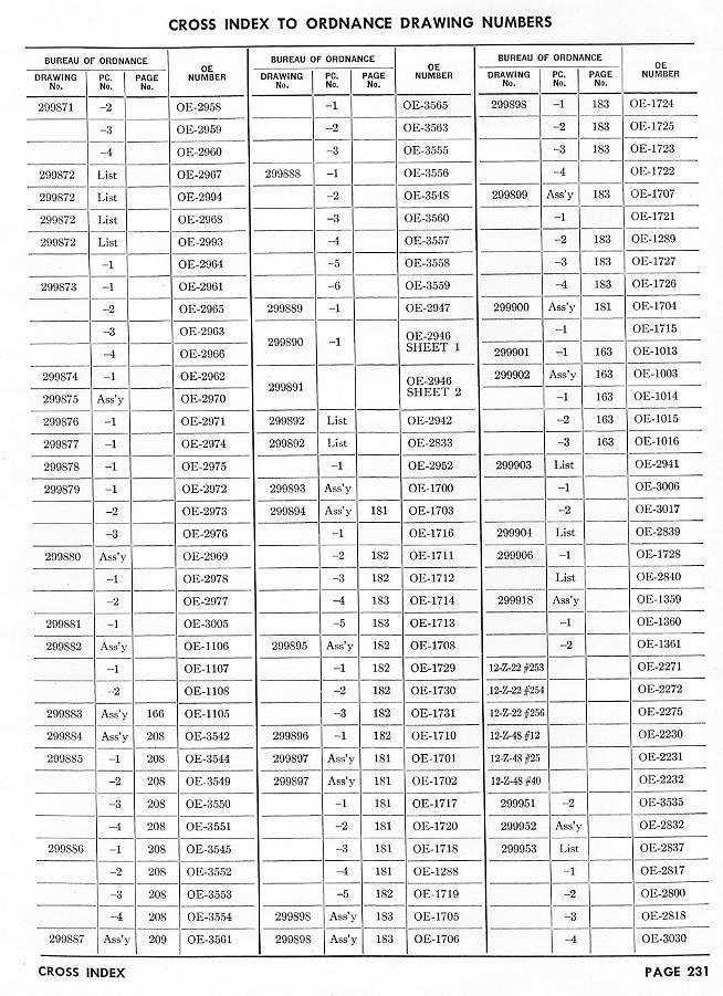
OP 911
CROSS INDEX
HOME            INDEX